Faktor Penentangan Mat Salleh Terhadap Syarikat Borneo Utara British Sbub Di Sabah

Pdf Pemberontakan Datu Mat Salleh Di Borneo Utara British Suatu Tinjauan

Pdf Pemberontakan Datu Mat Salleh Di Borneo Utara British Suatu Tinjauan

Penentangan Mat Salleh Di Sabah Ppt Download

Penentangan Mat Salleh Di Sabah Ppt Download

Doc Dasar Syarikat Berpiagam Borneo Utara British Kepada Peribumi Di Sabah 1881 Docx Firdaus Mahmud Academia Edu

Doc Dasar Syarikat Berpiagam Borneo Utara British Kepada Peribumi Di Sabah 1881 Docx Firdaus Mahmud Academia Edu

Slaid Sejarah Tingkatan 5 Bab 2

Slaid Sejarah Tingkatan 5 Bab 2

Perjuangan Pemimpin Tempatan Menentang British Ppt Download

Perjuangan Pemimpin Tempatan Menentang British Ppt Download

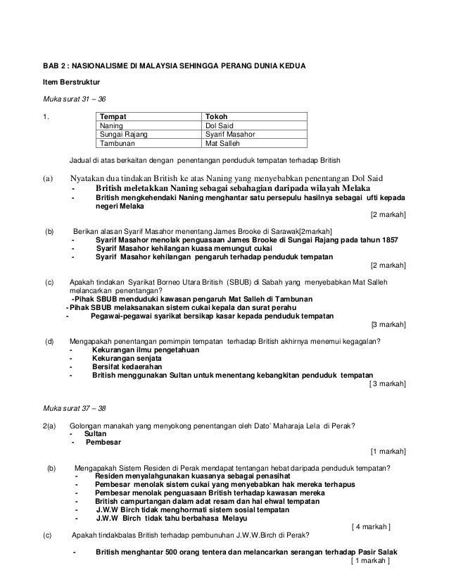
Bab 2 Nasionalisme Di Malaysia Sehingga Perang Dunia Kedua Ppt Download

Bab 2 Nasionalisme Di Malaysia Sehingga Perang Dunia Kedua Ppt Download

Bab 2 Nasionalisme Di Malaysia Sehingga Perang Dunia Kedua Ppt Download

Anak kedua dalam sekeluarga empat adik beradik daripada suku βajau dan ѕuluk.

Faktor penentangan mat salleh terhadap syarikat borneo utara british sbub di sabah.

Sbub menandatangani perjanjian perlindungan borneo utara british bertanggungjawab terhadap hal ehwal luar sabah syarat pemberian piagam diraja kepada persatuan sementara borneo utara british berhad 1 sbub mesti menerima nasihat daripada kerajaan british 2 sbub tidak boleh. Sejarah paduka mat salleh. Merupakan pejuang sabah yang terkenal dalam penentangan yang hebat terhadap penjajahan british di sabah. Pernah mengisytiharkan daerah tambunan sebagai daerah di bawah kekuasaannya.

Mat salleh atau mohammad salleh ialah seorang pahlawan di sabah yang bangkit menentang pemerintahan kompeni berpiagam borneo utara di sabah. Beliau pernah mengisytiharkan daerah tambunan sebagai daerah di bawah kekuasaannya. Mangan diusahakan di teluk marudu oleh syarikat british borneo exploration dan dieksport ke britian. Kekayaan ekonomi sabah menarik minat syarikat borneo utara british sbub sabah di bawah pengaruh kesultanan brunei dan kesultanan sulu sabah menjadi tumpuan pedagang barat kerana kedudukannya strategik dan kaya dengan hasil bumi.

Datu mohammad salleh bin datu balu. Mat salleh ialah anak kedua dalam sekeluarga empat adik beradik daripada suku suluk paitan. Mat salleh dibenarkan mentadbir daerah tambunan. Mat salleh tidak dilayan dan setelah menunggu selama sepuluh hari.

Beliau pernah mengisytiharkan daerah tambunan sebagai daerah di bawah kekuasaannya. Beliau membina kubu di ranau pada november 1897 beliau menyerang ambong pada 1898 cowie mengadakan rundingan dengan mat salleh di menggatal. Faktor penentangan mat salleh. Beliau ingin berunding tentang masalah cukai dan tindakan kekerasan pegawai sbub terhadap penduduk tempatan.

5 4 perubahan sosial sbub di sabah sbub telah membagunkan kemudahan asas seperti landasan keretapi jalan raya sekolah hospital telefgraf dan lain lain. Penentangan oleh mat salleh. Menubuhkan syarikat berpiagam borneo utara british sbub pada tahun 1882 bagi mentadbir keseluruhan wilayah negeri sabah yang telah dipajakkan oleh kesultanan brunei dan kesultanan sulu. Pembinaan kemudahan asas ini adalah untuk kepentingan dan keuntungan sbub.

Mat salleh ialah anak kedua dalam sekeluarga empat adik beradik daripada suku βajau dan ѕulu. Ii menghalang kuasa barat lain bertapak di sabah tahun 1888. Peristiwa penentangan pada julai 1897 mat salleh menyerang pusat pentadbiran british di pulau gaya. Datu mat salleh lebih dikenali dengan mudah sebagai mat salleh.

Biodata mat salleh. Datu mat salleh lebih dikenali dengan mudah sebagai mat salleh merupakan pejuang sabah yang terkenal dalam penentangan yang hebat terhadap penjajahan british di sabah. Datu mat salleh lebih dikenali dengan mudah sebagai mat salleh merupakan pejuang sabah yang terkenal dalam penentangan yang hebat terhadap penjajahan british di sabah.

Mat Salleh Menyerang Pulau Gaya Pekhabar

Mat Salleh Menyerang Pulau Gaya Pekhabar

Sejarah F5 Mat Salleh

Sejarah F5 Mat Salleh

Pahlawan Mat Salleh Doc Document

Pahlawan Mat Salleh Doc Document

Penentangan Pemimpin Tempatan Bab 2 F5 Docx

Penentangan Pemimpin Tempatan Bab 2 F5 Docx

Biodata

Biodata

Penentangan Pemimpin Tempatan Di Sabah D

Penentangan Pemimpin Tempatan Di Sabah D

Soalan 42

Soalan 42

Asal Usul Nama Sabah Sejarah Brunei Sejarah Malaysia Brunei Malaysia Kesultanan Brunei Brunei British

Asal Usul Nama Sabah Sejarah Brunei Sejarah Malaysia Brunei Malaysia Kesultanan Brunei Brunei British

Doc Nur Farhana Binti Rosli Nur Farahein Binti Mohammed Farok Nur Aqilah Syahirah Binti Shahudin Kim Hana Academia Edu

Doc Nur Farhana Binti Rosli Nur Farahein Binti Mohammed Farok Nur Aqilah Syahirah Binti Shahudin Kim Hana Academia Edu

Mat Salleh Wikipedia Bahasa Melayu Ensiklopedia Bebas

Mat Salleh Wikipedia Bahasa Melayu Ensiklopedia Bebas

Sejarah Tingkatan 2 Nota

Sejarah Tingkatan 2 Nota

Power Point Pm 2

Power Point Pm 2

Huraian T2

Huraian T2

Antanom Wikipedia Bahasa Melayu Ensiklopedia Bebas

Antanom Wikipedia Bahasa Melayu Ensiklopedia Bebas

Kertas 3 Sej

Kertas 3 Sej

Folio Tahun 5 Penjajahan Dan Tokoh

Folio Tahun 5 Penjajahan Dan Tokoh

Edunation Malaysia Video

Edunation Malaysia Video

Hsp Sejarah Ting2

Hsp Sejarah Ting2

Https Encrypted Tbn0 Gstatic Com Images Q Tbn 3aand9gct0l2myfytqurmrk2 7to3fhwonqysysagldhzqisgzjz0ikj2a Usqp Cau

Https Encrypted Tbn0 Gstatic Com Images Q Tbn 3aand9gct0l2myfytqurmrk2 7to3fhwonqysysagldhzqisgzjz0ikj2a Usqp Cau

Panduan Menjawab Soalan Kertas 3

Panduan Menjawab Soalan Kertas 3

Nota Cemerlang Sejarah T5

Nota Cemerlang Sejarah T5

Peristiwa Penentangan Pemimpin Tempatan Ppt Download

Peristiwa Penentangan Pemimpin Tempatan Ppt Download

Soalan Sejarah T3 Tuah Set 1 Pages 51 81 Text Version Anyflip

Soalan Sejarah T3 Tuah Set 1 Pages 51 81 Text Version Anyflip

Nota Bab2 By Hidayah Mohd Yusuf Chong Issuu

Nota Bab2 By Hidayah Mohd Yusuf Chong Issuu

Source : pinterest.com